<
Reposting Gallery
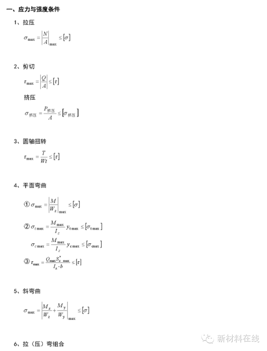
材料 力学 公式
大人 浴衣 帯 結び方 アレンジ
大学 卒業式 袴 髪型
大学生 夏服 コーデ レディース
大学生 服 ブランド メンズ ランキング
大塚 千弘 結婚
大学生 服 メンズ
大根 保存 食
大学生 トートバッグ メンズ おすすめ
<
Random Posts
折り紙 猫 折り方 簡単
折り紙 難しい 一枚
折り紙 飾り 切り
折り紙 難しい 一枚 ドラゴン
折り紙 動く おもちゃ
折り紙 桜の 花
折り紙 立体 ドラゴン 折り方
折り紙 立体 ドラゴン 難しい
折り紙 猫 立体 折り方
折り紙 花 可愛い 立体 簡単
折り紙 可愛い 折り方 手紙
折り紙 花 立体 バラ
折り紙 虫 折り 方 簡単
折り紙 花 難しい
折り紙 花 立体 バラ 作り方
折り紙 金魚 立体 折り 方
折り紙 花 ダリア 1枚
披露宴 演出 参加 型
折り紙 花 ダリア 作り方
折り紙 箱 猫 折り方
折り紙 花 立体 リース 作り方
折り紙 リアル 折り 方
披露宴 演出 参加型
折り紙 花束 子供 立体 簡単
折り紙 メダル の 作り方